上海
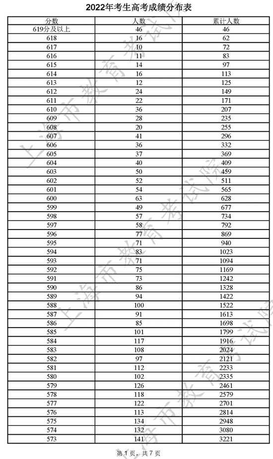
上海高考一分一段表2022
上海高考一分一段表2022 2022-11-16 14:17

说起高考几乎是每年最重要的话题之一,随着今年高考分数的公布,你们知道2022年上海高考一分一段是多少的吗?下面是小编为大家带来的上海高考一分一段表2022,希望大家喜欢。▼▼目录▼▼2022上海高考一分一段表2021 ...

上海高考专科批可以填几个志愿
上海高考专科批可以填几个志愿 2022-11-16 14:16

上海市2022年普通高等学校招生录取分为本科、高职(专科)两个阶段,那么专科批可以填几个志愿?我下面给大家分享关于202上海高考专科批可以填几个志愿,欢迎阅读!2022上海高考专科批可以填几个志愿1.志愿填报数量与 ...

2022年上海寒假放假时间
2022年上海寒假放假时间 2022-11-16 14:11

不经意我们马上就要迎接2022年的寒假时光了,而不知关于今年的上海地区寒假放假时间你们知道在什么吗?以下是小编为大家准备了2022年上海寒假放假时间公布须知,欢迎参阅。2022年上海寒假放假时间寒假从2022年1月20日 ...

2021上海中考分数线什么时候出
2021上海中考分数线什么时候出 2022-11-16 14:05

中考要考虑初中毕业生升入普通高中后继续学习的潜在能力,但普通高中教育还是基础教育的范畴,因此,中考既要坚持考查基础知识、基本方法和基本技能,又要坚持考查学科能力。下面是小编精心推荐的2021上海中考分数线 ...

上海2021高考全新分数线公布
上海2021高考全新分数线公布 2022-11-16 14:03

如今高考已经结束了一段时间,想必很多朋友们都十分渴望高考分数线的出来了,那你们知道2021年上海高考分数线是多少吗?下面是小编为大家带来的有关上海2021高考全新分数线公布通知,希望大家喜欢。上海2021高考全新 ...

中考作文素材600字【5篇】 2022-11-16 12:42

不积跬步无以至千里,作文对学生的语文成绩影响是很大的,所以我们要在平时就多读多看多写多加积累。下面给大家带来一些关于中考的作文素材,希望对你有所帮助。中考作文素材1【那一次,我读懂了坦然积淀】题记:只 ...

《上海中考作文素材》5篇 2022-11-16 12:42

不积跬步无以至千里,作文对学生的语文成绩影响还是很大的,所以我们要在平时就多读多看多写多加积累。下面给大家带来一些关于中考的作文素材,希望对你们有所帮助。《上海中考作文素材》1【堂门前】几十年前,我和 ...

上海中考作文大全
上海中考作文大全 2022-11-16 12:24

作文所选材料,应“真”“精”。所谓“真”,就是要注意材料的真实性,如实反映自己最熟悉的现实生活;所谓“精”,是指选材不在于多,而应根据主题需要。下面是小编为大家带来的上海中考作文大全,希望大家喜欢!上海 ...

2022学年上海高三语文一模作文
2022学年上海高三语文一模作文 2022-11-16 12:06

落红不是无情物化作春泥更护花。”从古至今人生的意义在于奉献。奉献,是一种美德;我们为人要善于奉献,只有奉献了,付出了,才会领悟到其中的乐趣。下面是小编给大家带来的2021学年上海高三语文一模作文,欢迎大家 ...

2022上海高考优秀作文
2022上海高考优秀作文 2022-11-16 12:04

作文,从“小”处立意。“小”是指平凡的小事。你要善于借日常生活中细小的材料来反映生活中的典型意义。吃饭、走路是小事,但唐人李绅能在吃饭时慨叹“粒粒皆辛苦”,下面是小编为大家带来的2022上海高考优秀作文, ...

2022上海英语二模高三作文
2022上海英语二模高三作文 2022-11-16 12:03

说到青年,便会想起青春。“青春”,这是一个富有诗情画意的字眼,也是一个热情洋溢的字眼!青春是什么?有人把青春比作初升的太阳,因为它充满生机,下面是小编给大家带来的2021上海英语二模高三作文,欢迎大家阅读参 ...

心灵的微光上海高考作文
心灵的微光上海高考作文 2022-11-16 12:03

漫步人生道路,徜徉于生活海洋。在我们这数年的岁月中,总会拥有许多,无论是那骄傲的功成名就,还是那引人佩服的人生经历。但不要忘了还有那小小的微光,也许只是短暂的奇特灵感,依旧值得我们珍惜。一起来看看关于 ...

2022上海一模高三各区作文
2022上海一模高三各区作文 2022-11-16 12:00

作文是语文考试的重中之重,想要写出好的作文,可以多背多记一些写作素材,灵活运用。下面小编给大家分享2021上海一模高三各区作文的内容,希望能够帮助大家,欢迎阅读!2021上海一模高三各区作文1不畏浮云遮慧眼,只缘 ...

2022上海一模作文高三
2022上海一模作文高三 2022-11-16 11:59

作文(composition)是经过人的思想考虑和语言组织,通过文字来表达一个主题意义的记叙方法。下面小编给大家分享2021上海一模作文高三的内容,希望能够帮助大家,欢迎阅读!2021上海一模作文高三1人生奔波在生活的路上 ...

2022年上海高考语文“发问与结论”作文【优选10篇】
2022年上海高考语文“发问与结论”作文【优选10篇】 2022-11-16 11:48

作文(composition)是经过人的思想考虑和语言组织,通过文字来表达一个主题意义的记叙方法。下面小编给大家带来2022年上海高考语文“发问与结论”作文,希望大家喜欢!2022年上海高考语文“发问与结论”作文1多少时候 ...

2022上海高考作文题
2022上海高考作文题 2022-11-16 11:48

作文的积累和模仿是提高写作水平的一条捷径,作文包括格式模仿、思路模仿和内容模仿,都能让你在高考写作中游刃有余。下面小编给大家分享2022上海高考作文题的内容,希望能够帮助大家,欢迎阅读!2022上海高考作文题 ...

上海高考作文800字
上海高考作文800字 2022-11-16 11:48

高考是人生中最重要的一次考试,初次面对高考的同学都多少会有一些紧张,尤其高考作文难的会让你摸不到头脑,有的时候即使知道了主题也不知道如何下笔,下面小编给大家分享上海高考作文800字的内容,希望能够帮助大家, ...

2022年高考上海卷“发问与结论”作文【10篇】
2022年高考上海卷“发问与结论”作文【10篇】 2022-11-16 11:45

小时候人们喜欢发问,长大后往往看重结论。对此,有人感到担忧,有人觉得正常,你有怎样的思考?下面小编给大家带来2022年高考上海卷“发问与结论”作文,希望大家喜欢!2022年高考上海卷“发问与结论”作文1发问是思 ...

预测2022年上海高考作文 2022-11-16 11:28

写作生活是写作的源泉,它在我们面前展示了一个丰富多彩的世界。学生只有留心生活中的各种事物,养成观察的好习惯,写作时才能有内容可写。下面是小编为大家整理的关于预测2022年上海高考作文,希望对您有所帮助。预 ...

上海高考满分作文 2022-11-16 11:26

普通高等学校招生全国统一考试由国家主管部门授权的单位或实行自主命题的省级教育考试院命制;由教育部统一调度,各省级招生考试委员会负责执行和管理。下面是小编为大家整理的关于上海高考满分作文,希望对您有所帮 ...

Copyright © 2022-2026 领地网 www.lingd.cn 版权所有 蜀ICP备09043158号-4

声明:本网站尊重并保护知识产权,根据《信息网络传播权保护条例》,如果我们转载的作品侵犯了您的权利,请在一个月内通知我们,我们会及时删除。